お申込み抽選結果です。
※事業参加申込書ごとの表記となっております。
№61ケンタッキー・パーティーバーレル
抽選結果はこちら

※チケットのお渡しは再度ご連絡いたしますのでお待ちください。
№55やさしいライフプランセミナー
抽選結果はこちら

| 事業タイトル: | №55 やさしいライフプランセミナー |
|---|---|
| 開催日 : | 11/30(日)9:30~11:00 |
| 会場 : | 菊川市商工会館 会議室 |
| 持ち物 : | 筆記用具 |
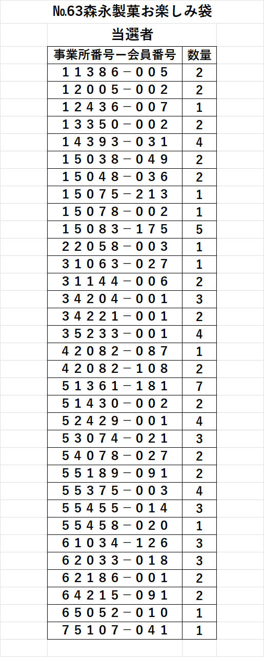
№63森永製菓お楽しみ袋
抽選結果はこちら

※商品のお渡しは再度ご連絡いたしますのでお待ちください。
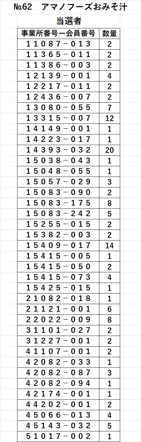
№62アマノフーズおみそ汁
抽選結果はこちら


※商品のお渡しは再度ご連絡いたしますのでお待ちください。
№70清塚信也
抽選結果はこちら

※チケットのお渡し日は再度ご連絡いたしますのでお待ちください。
№69おかあさんといっしょ
抽選結果はこちら

※チケットのお渡し日は再度ご連絡いたしますのでお待ちください。
№68美川憲一&コロッケ
抽選結果はこちら

※チケットのお渡し日は再度ご連絡いたしますのでお待ちください。
№67べべん~BEBEN~コンサート
抽選結果はこちら

※お渡し中です。
№64倍賞千恵子コンサート
抽選結果はこちら

※チケットのお渡し日は再度ご連絡いたしますのでお待ちください。
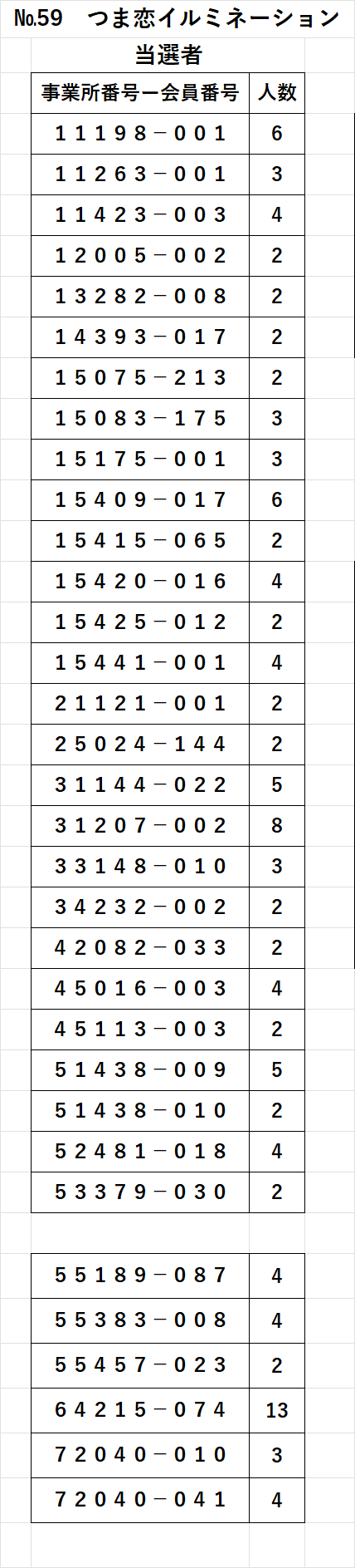
№59つま恋イルミネーション
抽選結果はこちら

※お渡し中です
№56正月サンドアート
抽選結果はこちら

| 事業タイトル: | №56 正月サンドアート |
|---|---|
| 開催日 : | 12月13日(土) 10:00~12:00 |
| 会場 : | 菊川市商工会館 会議室 |
| 参加費 : | 会員1,800円・同居家族2,500円・友人3,000円 ※当日、受付でお支払いください。 |
| 持ち物 : | 特になし ※開催日3日前からのキャンセルは参加費をお支払いいただきますので、ご理解のほどよろしくお願いいたします。 |
№54ミニランタン作り
抽選結果はこちら
※申込者が多数のため、2部制とさせていただきました。
時間をご確認のうえご参加ください。
誠に申し訳ありませんが、ご理解のほどよろしくお願いいたします。


| 事業タイトル: | №54 ミニランタン作り |
|---|---|
| 開催日 : | 11月23日(日・祝) 1部10:00~11:00 2部11:00~12:00 |
| 会場 : | 菊川市商工会館 会議室 |
| 参加費 : | 会員1,500円・同居家族2,000円・友人2,500円 ※当日、受付でお支払いください。 |
| 持ち物 : | 特になし ※開催日3日前からのキャンセルは参加費をお支払いいただきますので、ご理解のほどよろしくお願いいたします。 |
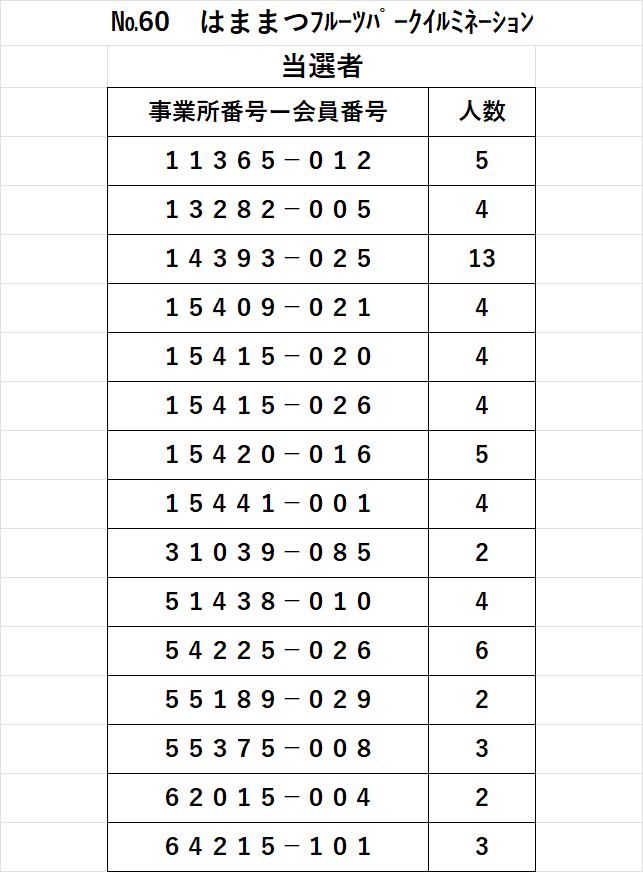
№60はままつフルーツパークイルミネーション
抽選結果はこちら

※お渡し中です。
№51高嶋ちさ子
※チケットのお渡し日は再度ご連絡いたしますのでお待ちください。
